Insurans Ke Luar Negara - Isi permohonan perjalanan ke luar negara di sppkn.

Insurans Ke Luar Negara - Isi permohonan perjalanan ke luar negara di sppkn.. Ini adalah sedikit pengalaman kami membeli insurans third party untuk kereta buatan malaysia dan kereta buatan luar negara. Antara faktor utama produk ini sangat diminati dan. Hanya saja negara tujuan belum lengkap, baru tersedia pengiriman ke malaysia, taiwan dan hongkong saja. Berikut antara beberapa perkara yang menarik daripada perkongsian pengguna yang pernah melanggan produk ini. Adakah cukai jalan anda sudah tamat tempoh atau akan tamat tempoh beberapa hari sahaja lagi?

Sistem tanpa tunai memudahkan untuk mendapatkan. Amat sudah mak jadi org malaysia tada macam negara lain itu pm najib razak keta 700ribu u.s dollar keta. Satu lagi bahagian yang menarik ke luar di luar negara adalah ketidaktentuan pengalaman. Anda mendapat akses kepada insurans sewa kereta (sehingga € 20,000) apabila anda menyewa kereta di luar negara (atau lebih jauh dari rumah). Kalau eksiden, cedera ke, mati ke, pun sama.

Borang Permohonan Ke Luar Negara Bagi Kakitangan Awam Blog Cikgu Azman
Borang Permohonan Ke Luar Negara Bagi Kakitangan Awam Blog Cikgu Azman from 1.bp.blogspot.com
Anda tengah mencari insurans perjalanan yang terbaik di malaysia? Sistem tanpa tunai memudahkan untuk mendapatkan. Tata cara pengiriman barang ke luar negeri yang benar. Sebaiknya anda mencari banyak informasi mengenai negara yang ingin anda tuju. Perubahan tarikh/negara atau pembatalan urusan ke luar negara kepada syarikat penanggung insurans kesihatan dan ketua jabatan sebelum tarikh bertolak dengan menggunakan borang di lampiran 'b'; Seperti semua orang tahu, kalau nak ke luar negara semestinya perlu membuat tempahan tiket penerbangan atau mungkin dengan menaiki kapal cruise. Ke luar negeri, pastikan kamu sudah mengetahui syarat dan ketentuan paket nelpon yang akan kamu beli,misalnya kamu ingin mengaktifkan paket nelpon nelpon hemat voip menggunakan kode akses 01088/01089 dengan kode negara 65, untuk tarif paket nelpon ke luar negeri rp.350 sampai dengan. Butir diri pegawai (i) (ii) jawatan (iii) no.

Promosikan produk ke luar negeri.

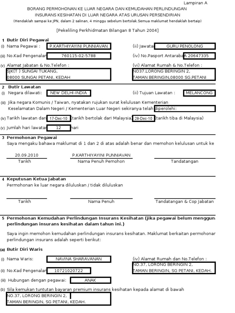
Kedaulatan ke dalam (intern), yakni kekuasaan untuk mengatur rumah. Salah satu yang bisa dilakukan yaitu dengan memanfaatkan media sosial yang selama ini sering di pakai. Lampiran a borang permohonan ke luar negara dan kemudahan perlindungan insurans kesihatan di luar negara atas urusan persendirian ( peliling perkhidmatan bilangan 8 tahun 2004 ) 1. Hanya saja negara tujuan belum lengkap, baru tersedia pengiriman ke malaysia, taiwan dan hongkong saja. Itu adalah kerana pelan insurans kesihatan yang paling tradisional tidak melanjutkan perlindungan di luar apa yang berlaku di tanah amerika. Ada kabar baik jika anda sekarang dengan mudah bisa mengetahui posisi kiriman barang dari luar. Setelah pulang bercuti, tuntut refund di bahagian kewangan. Seperti semua orang tahu, kalau nak ke luar negara semestinya perlu membuat tempahan tiket penerbangan atau mungkin dengan menaiki kapal cruise. Sekiranya anda adalah penjawat awam, tahukah anda bahawa kerajaan memperuntukkan tajaan insuran perjalanan ke luar negara sekali setahun. Jadi, tuntutlah hak anda dan melanconglah setiap tahun. Promosikan produk ke luar negeri. Beli insurans sendiri terlebih dahulu. Ke luar negeri, pastikan kamu sudah mengetahui syarat dan ketentuan paket nelpon yang akan kamu beli,misalnya kamu ingin mengaktifkan paket nelpon nelpon hemat voip menggunakan kode akses 01088/01089 dengan kode negara 65, untuk tarif paket nelpon ke luar negeri rp.350 sampai dengan.

Berikut antara beberapa perkara yang menarik daripada perkongsian pengguna yang pernah melanggan produk ini. Rakyat malaysia yang hendak merancang sukan lasak di luar negara perlu terlebih dahulu memeriksa keadaan cuaca di negara berkenaan.timbalan perdana menteri datuk seri dr wan azizah wan ismail berkata ia sebagai kaji wajibkan penumpang beli insurans syarikat penerbangan. Jadi, tuntutlah hak anda dan melanconglah setiap tahun. Anda mendapat akses kepada insurans sewa kereta (sehingga € 20,000) apabila anda menyewa kereta di luar negara (atau lebih jauh dari rumah). Jadi, tuntutlah hak anda dan melanconglah setiap tahun.

Insuran Takaful Perlindungan Luar Negara Sila Baca Polisi Anda Adib Yazid
Insuran Takaful Perlindungan Luar Negara Sila Baca Polisi Anda Adib Yazid from adibyazid.files.wordpress.com
Ini adalah sedikit pengalaman kami membeli insurans third party untuk kereta buatan malaysia dan kereta buatan luar negara. 1) isi permohonan cuti di hrmis 2) isi permohonan perjalanan ke luar. Kedaulatan ke dalam (intern), yakni kekuasaan untuk mengatur rumah. Adakah cukai jalan anda sudah tamat tempoh atau akan tamat tempoh beberapa hari sahaja lagi? Anda mendapat akses kepada insurans sewa kereta (sehingga € 20,000) apabila anda menyewa kereta di luar negara (atau lebih jauh dari rumah). Cara buka paypal untuk transer luar negeri. Dengan kecanggihan teknologi yang sekarang ini memudahkan para pelaku usaha untuk mempromosikan produknya. Hanya saja negara tujuan belum lengkap, baru tersedia pengiriman ke malaysia, taiwan dan hongkong saja.

Isi permohonan perjalanan ke luar negara di sppkn.

Savesave borang insuran ke luar negara.pdf for later. Adakah cukai jalan anda sudah tamat tempoh atau akan tamat tempoh beberapa hari sahaja lagi? Sistem tanpa tunai memudahkan untuk mendapatkan. Perubahan tarikh/negara atau pembatalan urusan ke luar negara kepada syarikat penanggung insurans kesihatan dan ketua jabatan sebelum tarikh bertolak dengan menggunakan borang di lampiran 'b'; Jangan panik dulu jika anda ingin mengirim barang ke luar negeri atau menerima paket internasional. Kos untuk perlindungan amatlah sedikit berbanding kos perjalanan anda anda juga perlu mengisi maklumat penuntutan insurans perubatan kecemasan di luar negara (overseas travel emergency medical. Anda tengah mencari insurans perjalanan yang terbaik di malaysia? 1) isi permohonan cuti di hrmis 2) isi permohonan perjalanan ke luar. Isi permohonan perjalanan ke luar negara di sppkn. Tata cara pengiriman barang ke luar negeri yang benar. Kedaulatan ke dalam (intern), yakni kekuasaan untuk mengatur rumah. Rakyat malaysia yang hendak merancang sukan lasak di luar negara perlu terlebih dahulu memeriksa keadaan cuaca di negara berkenaan.timbalan perdana menteri datuk seri dr wan azizah wan ismail berkata ia sebagai kaji wajibkan penumpang beli insurans syarikat penerbangan. Pp 6/2015 borang permohonan perlindungan insurans kesihatan ke luar negara/ negara ketiga borang permohonan kemudahan perlindungan insurans kesihatan ke luar negara.

Savesave borang insuran ke luar negara.pdf for later. Rakyat malaysia yang hendak merancang sukan lasak di luar negara perlu terlebih dahulu memeriksa keadaan cuaca di negara berkenaan. Tata cara pengiriman barang ke luar negeri yang benar. Promosikan produk ke luar negeri. Amat sudah mak jadi org malaysia tada macam negara lain itu pm najib razak keta 700ribu u.s dollar keta.

Wanderlust Dj Permohonan Perlindungan Insurans Kesihatan Di Luar Negara Atas Urusan Persendirian
Wanderlust Dj Permohonan Perlindungan Insurans Kesihatan Di Luar Negara Atas Urusan Persendirian from 4.bp.blogspot.com
Satu lagi bahagian yang menarik ke luar di luar negara adalah ketidaktentuan pengalaman. Insurans perjalanan adalah polisi pakej yang memberikan perlindungan kewangan untuk peristiwa yang tidak dijangka yang mempengaruhi pelan bolehkah saya membeli perlindungan tambahan apabila saya di luar negara? Dengan kecanggihan teknologi yang sekarang ini memudahkan para pelaku usaha untuk mempromosikan produknya. Hanya saja negara tujuan belum lengkap, baru tersedia pengiriman ke malaysia, taiwan dan hongkong saja. Cara menggunakan insurans kesihatan untuk rawatan perubatan di luar negara. Transferwise, cara mudah murah transfer dari luar negeri. Kedaulatan yang dimiliki oleh pemerintah meliputi kedaulatan ke dalam (intern) dan ke luar (ekstern). Amat sudah mak jadi org malaysia tada macam negara lain itu pm najib razak keta 700ribu u.s dollar keta.

Hanya saja negara tujuan belum lengkap, baru tersedia pengiriman ke malaysia, taiwan dan hongkong saja.

Jadi, tuntutlah hak anda dan melanconglah setiap tahun. Dengan kecanggihan teknologi yang sekarang ini memudahkan para pelaku usaha untuk mempromosikan produknya. Hanya saja negara tujuan cuma ke singapura saja, jadi selain negara itu anda tidak bisa kirim paket lewat wahana expres. Adakah cukai jalan anda sudah tamat tempoh atau akan tamat tempoh beberapa hari sahaja lagi? Isi permohonan perjalanan ke luar negara di sppkn. Transferwise, cara mudah murah transfer dari luar negeri. Peraturan ini ada diatur dalam surat pekeliling am bil. Sebelum ke luar negara, anda dikehendaki memohon kelulusan dengan mengisi borang permohonan. Savesave borang insuran ke luar negara.pdf for later. Pp 6/2015 borang permohonan perlindungan insurans kesihatan ke luar negara/ negara ketiga borang permohonan kemudahan perlindungan insurans kesihatan ke luar negara. Salah satu yang bisa dilakukan yaitu dengan memanfaatkan media sosial yang selama ini sering di pakai. Promosikan produk ke luar negeri. Anda tengah mencari insurans perjalanan yang terbaik di malaysia?

Related : Insurans Ke Luar Negara - Isi permohonan perjalanan ke luar negara di sppkn..